Represented Pro Se and Served via email to:
- Steve Emmings (Father)
- <contact info redacted>
- Judy Emmings ✡️ (Mother)
- <contact info redacted>
- Mat Stevenson (2016-2017)(2023-2023) most recent good Attorney)
- matstevenson@bigskylegal.com
- Marty Judnich (2022 old good Attorney)
- marty@judnichlaw.com
- Tim Hides (2021-2022) old good probation Officer from after Prison)
- thides@mt.gov
- Left voicemail with Brittany Smith – Great Falls Probation
- Bill Lower (Attorney for the Banker)
- Lower@dmllaw.com
- Ben Darrow (2018/2019 pre-Prison crooked Attorney)
- contact@darrowlawmt.com
- Sam Waxwing (LCSW; 2019 pre-Prison mental health evaluation)
- sam@waxwingpsychotherapy.com
- Paula Mills (LCSW; 2021 post-Prison mental health evaluation)
- millsPj.PM@gmail.com
- Montana District Court (Clerk of Court for Judge Leslie Halligan)
- Cady.Sowre@mt.gov

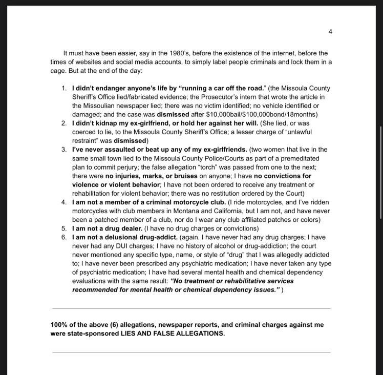
✡️ I’m writing because I cannot survive any more of this constant psychological abuse and financial abuse that is being directed towards me, my business, and my family. I realized today that this is never going to stop. This is a 7 year Conspiracy. 10 years from the first defamation lawsuit. This is Antisemitism in Nazi County. This is a 7 year Antisemitic attack on the wealth of my family. I think a civil lawsuit for defamation is unavoidable at this point.
We started the year with a warrant for my arrest, and we ended the year with a warrant for my arrest. We started the year with false allegations that I threatened to kill Dillon Kato, and we ended the year with false allegations that I threatened to kill Dave Glaser. We started the year with a $100,000 listing, and we ended the year in financial default.
This criminal case, my Prison sentence… it’s all been a cover up. We’ve uncovered a conspiracy that was not-so-cleverly designed to conceal defamation crimes against my person, and financial crimes against my business. My good acts of building and delivering vehicles to my customers, has been replaced with false allegations that I was instead threatening to kill people. It should be clear to everyone, that the Prosecutorial motives behind this case are malicious, and have nothing to do with my ex-girlfriend, who was used as a “victim”… but has been absent from this case for 6 or 7 years. There is no victim listed in the paperwork. No females. They used the girls as a cover up. I’m being accused of threatening to kill news Reporter Dillon Kato (“Dillon Potato”) and a Joe Biden nominated CDFI Banker (“The Banker who shall not be named”), but it wasn’t on record, until 2023.
These same false witnesses just testified in Court for the first time in 2023 – that I threatened to kill them. These same false witnesses just testified that they stalk my social media accounts. Dave Glaser directed MoFi employees to stalk my social media accounts, where I post weekly work project updates. Dave Glaser just admitted in a court hearing that he discriminated against me and denied me a loan, because I didn’t have a physical address. He hung pictures of my face around his Office, and told all his female employees I was a psychotic killer.
These same 2 false witnesses (Dillon Kato; Dave Glaser) have returned in 2023, 4 years after my sentencing, during my fresh restart from Prison, and my fresh restart from Bankruptcy, to sabotage and destroy this most recent $100,000 truck I’m building. This is the same scenario that sabotaged a $100,000 vehicle before Prison in 2019, and sabotaged multiple $100,000 vehicles in 2018, 2017, and 2016. Multiple $100,000 vehicles sabotaged by malicious legal action, both before and after Prison… and what crimes am I being charged with? Nothing.
They’ve already caused one bankruptcy that cost taxpayers $63,000. They’re about to trigger another one that will cost taxpayers $50,000.00+. Extrapolated over time, $750,000.00 worth of built products affected, the damages to my business and to the wealth of my family… totals into the Millions. A $300 Million dollar settlement has been proposed in this demand letter:
2022 ended with me being released from supervision for good behavior. My good probation Officer Tim Hides, and my old good Attorney Marty Judnich, and Judge Halligan signed off on my release back to California, using this mental health report from Paula Mills:

- Right at the end of 2022, I bought a brand new new Honda chassis from a Southern California dealership for the restart of my business… to be up-fitted for a $100,000 listing. This was a 60 day project that was due to be completed last March.
- 27 days after I purchased that new chassis, over Hanukkah, Christmas, and the start of the New Year… Missoula County Probation and Judge Halligan issued a warrant for my arrest.
- I hired back my first Attorney Mat Stevenson for $7500.
- Ryan Mickelson walks into Court and accuses me of threatening to kill Dillon Kato. I told Ryan Mickelson I was going to sue him in Federal Court.
- The warrant was quashed, and Judge Halligan’s order was stayed (for 10 months)
- A few months later, Matt Jennings walks into Court and accuses me of threatening to kill Dillon Kato. I told Matt Jennings I was going to sue him in Federal Court.
- Matt Jennings reappears a month later with a new victim, and accuses me in an open courtroom, of threatening to kill Dave Glaser, and his kids.
- Hearings are held where Matt Jennings accuses me of threatening to kill Dave Glaser and Dillon Kato. I end the hearing with a prepared speech telling Matt Jennings, Dillon Kato, and Dave Glaser, that I’m going to sue them Federal Court.
- The Judge wrongfully finds me in violation, for exercising free speech about this case on social media. The Judge ordered me “not to threaten anyone on social media” and “ to only talk about work related topics”… but she failed to notice I changed my job title. I’m a “Civil Rights Activist”. Posting updates about this case follows the Judge’s orders. Posting about this case is my job, and my right. It’s work related, and it’s non-threatening.
- The Judge orders me to remain in California, but be on supervised probation in Montana. Which, to anyone familiar with how probation works, this makes no sense, and it’s not probably not even possible… because I just went through this for the last 7 years and probation trapped me and in Montana, where I was eventually tortured.
- We move out of criminal court and into a Civil Court hearing with the same Judge. Dave Glaser accuses me of threatening to kill him.
- Judge Halligan grants the order saying that I threatened to kill Dave Glaser… and that I am a violent offender with a history of violence.
- 10/26/23 – Missoula Probation threatens to issue an Interstate Extraditable Warrant for my arrest.
- 11/10/23 – Following 6 years of pressure from Judge Halligan to shut down my mixed business/personal social media accounts, I was forced to shut down all my Meta business/personal Facebook and Instagram Accounts. It’s also important to note that my Meta accounts were recently censored and shadow banned… and I think this is important because we’re in a dispute with a Washington DC Banker who received a $1,000,000 grant from Meta’s Mark Zuckerberg. These well established advertising accounts hold celebrity contacts, were monetized with thousands of dollars, and generated hundreds of thousands of dollars in sales. It’s part of my demand that I receive compensation for social media repair.
When I was released from Prison in 2021 – (2) years ago – I published this statement of facts;

It seems the Judge in my case, Leslie Halligan, failed to read it. Is she confused? Does she have me confused with a different defendant? Is she maliciously trying to create a false history? Does she hate men? Does she hate blue collar workers? Does she hate auto shops? Does she hate middle aged blue collar men? Does she Truckers are all stupid and violent? Do you hate Jews? Do you hate Millionaires? Do you hate high IQ’s? Are you surrounded by stupidity? and Jealousy? and Envy? Is it Antisemitism? Because the next thing she did, is issue the following statements in her most recent order, in October of 2023:

These false allegations from Judge Halligan, quoting false allegations and hearsay from a complaining witness, raises many questions:
How is it even possible that we have the same Judges and Prosecutors that have been falsely accusing me of violence for 7 years? Where are the victims? I have a right to confront the witnesses against me. Where are the victims of my violence? Who are they?
Here we have Judge Halligan using unchallenged, hearsay evidence of violence, which came from a disgruntled ex-girlfriend. These unchallenged, false allegations, occured 1+ years AFTER the false allegations from Dave Glaser. Dave Glaser’s false allegations that I threatened to kill him originated all of this in 2016, and spread to every girlfriend I had in Missoula in 2016, 2017, 2018, and 2019, up until Prison, restarted in 2021, and continued into 2022, and 2023.
Young women are easy to coerce. The Police know this and use women like this all the time. This Banker created social pressure, these Cops created social pressure, Dillon Kato in the media created social pressure, the Prosecutors created social pressure, the Courts created social pressure, all of these antisemitic motherfuckers working together created a social smear campaign. Most of the girls followed the group, the Banker, the Government, the Police. Police visited all my girlfriends and tried to scare them into thinking I was a Monster. We have evidence and a witness ready to testify, a girlfriend that Police visited at her hotel, that they tried to persuade into becoming another “me too” victim. This particular girl, had a good enough head on her shoulders to resist the pressure. She told the Police that what they were doing was wrong, and she told them to “fuck off.”
Judge Halligan is using false evidence of violence, from false “me too” victims, who came after Dave Glaser’s false allegations that I threatened to kill him. Dave Glaser’s false allegations of a death threat was the initial event that caused a chain reaction of “me too” women who also reported violence. There is no history of violence. It was created by Dave Glaser, by the Missoula County Sheriff’s Office, by Dillon Kato in the Media, by a succession of mentally unstable young women, by Missoula County Prosecutors, and now by Judge Halligan.

How do we have a Judge that is literally saying 2 opposite things in the same paragraph? How do I suddenly have a history of violence, with no history of violence? I’ve had enough of this double speak. Enough of this double jeopardy.


Here we have Judge Halligan, creating an explanation out of thin air, for a threat that never occurred. Mr. Glaser’s allegations that I threatened him are not credible, and need to go to jury trial. I have a Constitutional right to confront the witnesses against me. Mr Glaser fabricated the accusations against me, to cover up for wrongfully denying me a loan. I want to know which cop Dave Glaser reported death threats to in 2016? Was it Capt. Bill Burt? I want to know which Prosecutor fielded this complaint. Was it Jen Clark? Kirsten Pabst.
I want to know the details of the conversation. I want to know why we’re acting like I wasn’t represented by Attorneys when all these death threats allegedly took place? I was represented by either Mat Stevenson and Ben Darrow at all times throughout the timeframe of these events.
Judge Halligan is claiming she only sentenced me to Prison for a protection order violation. We know this isn’t true, because I signed a GLOBAL PLEA AGREEMENT. We can prove abnormality here… all we need to do, is look at the analytics of Judge Halligan’s sentencing history, and the sentencing history of Missoula County as a whole. We simply need to find the average sentence for violating a protection order, and compare it to the 12 year sentence I got. I can already guarantee you, my sentence is longer and more severe than anyone else charged with the same crime in Missoula County, the State of Montana, or even the entire United States of America.
I want a list of all the people that heard about this “death threat” from Dave Glaser in 2016, and what their reaction was. How did people respond to the situation then?
Why wasn’t it in the newspaper article? Why wasn’t it the headline? Why wasn’t I charged with crimes? My criminal charges say something completely different. The newspaper articles say something completely different. I’m stuck in a conspiracy.
There’s no legitimate explanation for Dave Glaser’s claims. I’m not some broke, psychopathic, delusional, violent, drug-addict in need of incarceration and intensive treatment. I’m a fucking Millionaire. All these defamatory likenesses disappear when you accept that I’m a minimalist Millionaire. I’m not some fucking bum that he can take advantage of, bully, abuse, destroy, sabotage, bury, and cover up with false allegations. He can’t do that to me because I have wealth. I have a history of all my work through that timeframe. It’s harder to make me disappear than the average bum. The hardest. I can’t be wiped out and silenced like that. He fucked up. He bet wrong. We all did. This is textbook cluster B narcissistic/sociopathic abuse. It makes me suspicious that he’s abused other people too, and come away clean? This is 7 years of psychological, financial, and legal abuse from this same Missoula County. 10 years from the original defamation lawsuit with Missoula Chamber of Commerce Member Sten Solberg (Jones Bros Trucking).
Either that, or maybe it was an order from crooked Joe Biden himself. Maybe these really are deep-state Political enemies, dressed in sheep’s clothing, trying to steal the wealth of my family.
I’ve been saying this the whole time… this could be retaliation for the civil defamation suit settlement I won in 2014. This started 10 years ago with Casey Jones and Sten Solberg getting caught blacklisting me. You got Sten Solberg on the Chamber of Commerce in 2014? And 2 years later in 2016 when I apply for new business loans in Missoula “The Banker who shall not be named” claims I threatened to kill him? BULLSHIT. Same people, same place, same time, same malicious action, same pattern, same roles in society, acquaintances by the nature of their employment… This is retaliation. This is antisemitism.
You know, and I don’t know if it’s my duty to figure out exactly all of Dave Glaser’s motivations for making up a terrible lie, and committing Perjury…. Maybe he’s covering up for wrongfully denying me a loan? Maybe he kept the money for himself. Maybe he discriminated against me because I was homeless and didn’t have an address? Maybe he thought nobody would notice and he could get away with it? Maybe this is an attack on my family’s wealth? We don’t have it figured it out yet. Maybe the Court can help us figure it out? Isn’t that the Court’s job?
After publishing this complaint, and looking at the totality of the circumstances, I developed a reasonable fear that this was retaliation against my family. My parents spent 60 years combined as medical malpractice and personal injury Attorneys, engaged in lawsuits against negligent bad actors, and corrupt corporations. This raises the question: “Is this current legal attack, revenge for lawsuits filed by either my Mother, or by my Father, throughout their 60 years of private practice?” This question prompted me to engage a security protocol my Father instructed me to do as a child (32 years ago) if I ever found myself in such a situation. I notified senior staff at his old medical malpractice and personal injury law firm; Sieben, Gross, VonHoltum, McCoy, and Carey. As the oldest and largest personal injury law firm in Minnesota, the Firm has aged out, and what I found was a shell of what once was. Jon Carey, who recently passed away, a great man, was my Dad’s partner. Everyone else that I knew as child, that is still alive, is 80 years old and retired. I emailed the only remaining original active senior partner, Harry Sieben, who is the former Commander of the Minnesota National Guard.
Dave Glaser needs to be Federally investigated for discrimination in lending, and criminally charged for Perjury. He needs to go to Prison. Every loan he ever injected, or didn’t inject into the community, needs to be investigated by Federal investigators for bias. Dave Glaser is a highly biased, dangerous, narcissistic/sociopathic abuser, that should not be involved with community development, banking, or community lending.
While I was working outside building $750,000 worth of stuff by hand, under a tree, blueblood banker Dave Glaser gets to work in a big Office, and sleep comfortable as fuck in a $750,000 house on the hill… skimming interest off business loans. King of the Hill. Skimming labor off of 100’s of wage slaves under his financial control. What a psychopath. And I can’t even get $20 Grand to grow my business? When I’ve been out here working nearing 30 years? …and not only does he not give me $20K, but he lies to a Judge and claims I threatened to kill him? And then he comes back 7 years later and claims I did it again? Both before and after Prison?
To summarize the insanity of this situation… I can’t even get in any more trouble today, even if I did threaten to kill him. I can’t even be charged with a crime if I say “I did it… I threatened to kill the Banker!” 😂 … I’ve already been found pseudo-guilty of a crime I was never charged with, or convicted of. And after 7 years, after a Prison sentence, we’ve sabotaged my fresh restart and we’re still having hearings on whether these events happened or not? What, when, where, why, it happened? What the fuck is this? What is this going to look like when it gets written down in history? Because history is changing right in front of our eyes. We’re not going to write in the history books, that I threatened to kill a crooked Joe Biden nominated Banker.
I didn’t spend 17 years living on the road starting a business, just to get fucked over, and put into retirement by some Joe Biden nominated blue blood banker, that’s never had a real job. I don’t care who this guy knows, or what position he holds in the community… he fucked up when he defamed me, and he’s going to pay us all back. I’m just building trucks. I don’t know what this asshole is building.
(2016) <brings first Sprinter and business plan to University of Montana and eventually to MoFi, Missoula MT>
(2016) “You’re not under arrest for threatening to kill a Banker, we know you didn’t do it”
(2016) “You’re not under arrest for threatening to kill a Student News Reporter, we know you didn’t do it”
(2016) <I built this Website, Facebook, Instagram, running multiple ads on (12) platforms>
(2017) “You’re under arrest for emailing girlfriend #1 (6) non-threatening emails. You’re not under arrest for hitting her. She said you hit her, and we can see that you didn’t”
(2017) <sells first Sprinter to music producer>
(2017) “You’re under arrest for hitting girlfriend #2 with no red marks or signs of physical injury” <not guilty>
(2018) “You’re under arrest for running a car off the road that doesn’t exist.
We’re putting it in the newspaper as the headline… and we’re also putting in the newspaper that you “harrassed” Girlfriend #1, and hit Girlfriend #2… but we’re NOT putting in the newspaper that you threatened to kill a Banker, or that you threatened to kill the Student Reporter that is writing this very newspaper article” <not guilty>
(2019) “You’re not under arrest for threatening to kill a Banker, but we know you did it. You’re going to Prison for it, but we’re not putting this in the newspaper”
(2019) “You’re not under arrest for threatening to kill a Student News Reporter, but we know you did it, and you’re going to Prison for it, but we’re not putting this in the newspaper”
(2019) “You’re being sentenced to 12 years in Prison for emailing your girlfriend (6) non-threatening emails. We already put it in the newspaper”
(2022) “You’re being released from Montana back to California”
(2023) “You’re not under arrest for threatening to kill a Student News Reporter, but we know you did it, and you need to move back to Montana right now or else we’re putting out a Felony Warrant for your arrest. But we’re not putting this in the newspaper”
<student reporter senses trap and backs out>
(2023) “You’re not under arrest for threatening to kill a Banker, but we know you did it, and you CAN NOT move back to Montana, we’re putting a Felony Warrant out for your arrest, and we’re not putting any of this in the newspaper”
<Banker signs on the dotted line>
(2023) Retires a Millionaire
(2024) Sues a Washington DC Banker for $300,000,000.00
I dedicate this to all my long lost brothers, for every Jew that got destroyed with same antisemitic bullshit. To Shane Schilling (who I rode bikes with as a boy), the Landt Brothers, Lenny Weissner, DLH, Joe Worm, Phil, Rob, Allen, Ed – for never having anything but friendship to the end… everyone that’s been fucked up, fucked over, or held down financially by a broken system. Everybody wrongfully locked up in Corporate-for-profit Jails and Prisons, poor Jared Kuntz, poor Kevin Briggs, poor Darion Douglas… their families… these inmates were driven to madness by being framed for crimes they didn’t commit. These young men didn’t have victims, they are victims. This is for every good young man that had their life ruined by crooked Politicians, crooked Counties, crooked Cops, crooked Courts, crooked Bankers, and crooked Newspaper Reporters. Everyone working all day and night, earning a living with their hands, just to get fucked over by the Government… or fucked over by wealthy white collar desk jockeys that have never done any real work. This is the best thing I could think to do for you guys, with all my family’s wealth, and all my family’s legal power. I could have abused and enslaved a lot of people. Instead I hope I can put a dent in the system that’s been breaking, abusing, and destroying a lot of good young men in our Country 🫡🇺🇸✡️
I think this is what my father secretly wanted me to do, as a contingency, P.O.D. I think they tripped my Father’s contingency plan. It makes me laugh. “The Banker who shall not be named” is not my father. Steve Emmings is my Father. And now all these people are going to know my Father’s name, and listen to his words. My Father said, “I don’t think you’ve treated my Son fairly.”